Gambar Anak Menendang Bola

Oct 12, 2023

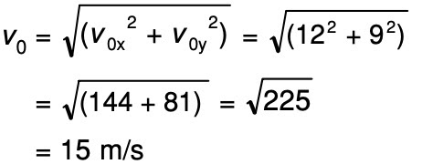
Ayah Dan Anak Menendang Bola Kartun Yang Dilukis Tangan Bahan gambar unduh gratis_imej 610488240_Format PSD_my.lovepik.com Remaja Menendang Bola Untuk Hari Kanak Kanak gambar unduh gratis_imej 649834823_Format PSD_my.lovepik.com Boy Menendang Bola PNG grafik gambar unduh gratis - Lovepik Gerak Spesifik Permainan Sepak Bola Halaman all - Kompas.com Paling Top 52+ Gambar Kartun Orang Menendang Bola Gambar Gambar Kartun Budak Kecil Menendang Bola, Budak Lelaki Menendang Bola Dengan Kaki, Angka Kecergasan, Sukan PNG dan PSD untuk Muat turun Percuma Gambar Ayah Dan Anak Bersama Sama Untuk Menendang Bola, Kasih Sayang, Anak Anak, Perjalanan PNG dan PSD untuk Muat turun Percuma Gambar Orang Menendang Bola Dengan Kaki Bagian Dalam - Berbagai Bagian Penting Sepak Bola Tendangan Menendang - Foto gratis di Pixabay Adegan bola sepak budak menendang bola permainan luar bola sepak yang digambar tangan yang cerah | Ilustrasi PSD percuma muat turun - Pikbest Pola Bahan Menendang Bola Anak Kartun PNG grafik gambar unduh gratis - Lovepik Menendang Bola dengan Kaki Bagian Dalam - Wuanjrot Bray 2 Kombinasi Gerak Lokomotor dan Manipulatif dalam Gerakan Menendang Bola Gerak Spesifik Permainan Sepak Bola Halaman all - Kompas.com cara menggambar anak menendang bola bagian 2 - YouTube Ilustrasi Kartun Anak Laki-Laki, Sepak Bola, komik, anak, hewan bertulang belakang png | PNGWing Gambar Teknik Menendang Bola Dengan Kaki Bagian Dalam - Berbagai Bagian Penting Gambar Ilustrasi Senaman Kecergasan Bola Sepak Putih Watak Kartun Kecergasan Menendang, Bola, Bola Sepak Putih, Kanak Kanak PNG dan PSD untuk Muat turun Percuma Kartun Menendang Sepak Bola Anak Kebugaran PNG grafik gambar unduh gratis - Lovepik Pemain sepak bola, bola sepak, anak, olahraga, tangan png | PNGWing Teknik Dasar Menendang Bola | Lancang Kuning Sepak Bola Anak Laki Laki Dan Pemain Sepak Bola Menendang Bola, Atlet, Atlet, Atletis PNG dan Vektor dengan Latar Belakang Transparan untuk Unduh Gratis Berdasarkan gambar di atas, teknik menendang bola menggunakan… - Brainly.co.id Laki-laki dan Perempuan Gunakan Otot Berbeda Saat Menendang cara menggambar anak akan menendang bola bagian 2 - YouTube Boy Menendang Bola gambar unduh gratis_imej 401227016_Format PNG_my.lovepik.com Blog Guru Penjasorkes: Pengertian, Teknik Dasar, dan Peraturan Permainan Sepak Bola Teknik Dasar Futsal - Pengertian, Sejarah, Contoh, Manfaat Aktivitas Pembelajaran Gerak Spesifik Menendang Bola - Buku Sekolah Gambar Kartun Tangan Ditarik Piala Dunia Menendang Bola Kartun Anak Laki Laki, Kartun Anak Laki Laki, Kartun Tangan Dilukis, Smiley Pakej PNG dan PSD untuk Muat turun Percuma 2 Kombinasi Gerak Lokomotor dan Manipulatif dalam Gerakan Menggiring Bola News | KukuBima Ener-G! | Page 10 Latihan Sepak Bola untuk Anak Berumur di Bawah 10 Tahun - Readaksi.com Gambar disamping merupakan gambar anak menendang bola dengan menggunakan kaki bagian - Brainly.co.id Cara Menendang Bola yang Akurat untuk Mencetak Gol Manfaat Bermain Sepak Bola Bagi Anak | Popmama.com Olahragakan Balita Anda dengan Gerakan Ini - Tribun Pontianak Gambar Boy Menendang Bola Sepak Bermain Bola Sepak, Bola, Bola Sepak, Sukan PNG dan PSD untuk Muat turun Percuma Anak Lelaki Kartun Berjalan Dan Menendang Bola gambar unduh gratis_imej 611469059_Format PSD_my.lovepik.com Gerakan Lokomotor, Non Lokomotor, dan Manipulatif dalam Olahraga Sepak Bola - Semua Halaman - Bobo Tali Bola dengan Sambungan Ikat Pinggang Alat Latihan Menendang untuk Anak | Shopee Indonesia Cara Menendang Bola dengan Punggung Kaki, Kaki dalam dan Luar Lengkap | Perpustakaan.id Akso, Ini Cara Cerdas Berlatih Sepak Bola | TemanTakita.com Sepak Bola – Kelas 4 SD Elemen reka bentuk bola tendangan kartun | Elemen Grafik AI percuma muat turun - Pikbest 10 Teknik Dasar Sepak Bola dan Penjelasannya - Tokopedia Blog Menendang Bola PNG grafik gambar unduh gratis - Lovepik Gambar Menendang Bola Sepak Bola Ibu Anak, Kasih Sayang, Kanak Kanak, Keluarga PNG dan PSD untuk Muat turun Percuma Gambar anak laki-laki muda bermain sepak bola | Domain publik vektor Pria menendang bola, Tujuan Menembak, Football, Football, pemain sepak bola, olahraga, Wallpaper komputer, Peralatan olahraga png | PNGWing TK TARAKANITA 5 JAKARTA :: Menendang Bola Ebc35b7b Sepak Bola – Kelas 4 SD Teknik Menendang Bola Dalam Sebuah Permainan Sepak Bola PlayTube.pk | Ultimate Video Sharing Website 10 Teknik Dasar Sepak Bola dan Penjelasannya - Tokopedia Blog cara menggambar anak menendang bola bagian 1 - YouTube Gerak Spesifik Permainan Sepak Bola Halaman all - Kompas.com seorang anak menendang bola dengan kecepatan 10m/s pada arah 30° dari bidang datar. berapa tinggi - Brainly.co.id Sepakbola pakai fisika, seru juga… | poojetz » Puji Astuti Penting untuk Orangtua! Inilah Tumbuh Kembang Anak Usia 4 Tahun yang Ideal Gambar Angka Sukan Kecergasan Gambar Bermain Bola Sepak Kecergasan Anak Kecil Menendang Bola Bola Sepak Bulat, Bola, Bersorak, Budak PNG dan PSD untuk Muat turun Percuma Teknik Melatih Tendangan Keras ‘‘Shoot Power’’ - blog seputar ilmu olah raga Gambar Menendang Bola | Template Psd & Png,Vektor Download Gratis - Pikbest Ilustrasi Menendang Sepak Bola Tangan Ditarik PNG grafik gambar unduh gratis - Lovepik 5 Teknik Dasar Sepak Bola untuk Pemula, Wajib Tahu! Seorang anak menendang bola dengan kecepatan awal pada arah vertikal 9 m/s dan kecepatan awal pada - Mas Dayat Gambar Bola Sepak Pemain Wanita Bayang Sukan Berjalan Menendang Bola Bayang, Siluet, Berlari, Atlet Wanita PNG dan PSD untuk Muat turun Percuma Anak laki-laki bermain sepakbola, sepak bola tangan dicat, sepak bola anak- anak png | PNGEgg Tips Bermain Slot Online Lengkap 2.Gambar di samping merupakan gambar anak menendang bola denganmenggunakan kaki bagian ….mohon di - Brainly.co.id Galeri Sepak Bola – Info Seputaran Sepak Bola Indonesia Teknik Sepak Bola - Teknikkami Anak Lembu Kartun Menendang Bahan Vektor Bola gambar unduh gratis_imej 610369233_Format PSD_my.lovepik.com Teknik Menendang Dalam Sepak Bola Lengkap RENCANA PELAKSANAAN PEMBELAJARAN ( RPP ) - PDF Download Gratis PAS PJOK 1_1 | Physical Ed Quiz - Quizizz cara menggambar anak akan menendang bola bagian 2 cara menendang bola dengan keras: Cara menendang bola dengan keras Permainan Bola Besar Sepak bola | Mikirbae.com Timnas U-19 Tampil Di Kroasia, Ini Harapan Ketum PSSI 10 Teknik Dasar Sepak Bola dan Penjelasannya - Tokopedia Blog Ilustrasi menendang piala dunia kartun | Ilustrasi PSD percuma muat turun - Pikbest Bola, Anak, Kartun gambar png Gambar Anak Anak Menendang, Clipart Kanak Kanak, Sepakan Budak, Tendangan Remaja PNG dan Vektor untuk Muat turun Percuma Inilah 6 Manfaat Bermain Sepak Bola Bagi Anak yang Perlu Diketahui! - OlahragaPedia.com Inilah Jenis Olahraga Yang Tepat Sesuai Usia Anak - Nakita UU2. Perhatikan gambar berikut.Anak di atas sedang melakukan gerak menendang bola dengan - Brainly.co.id BAB II KAJIAN PUSTAKA, KERANGKA BERPIKIR, DAN HIPOTESIS - PDF Download Gratis Sepak Bola, Bolton Wanderers Fc, Rekreasi gambar png Cara Menendang Bola yang Akurat untuk Mencetak Gol Soal Tematik Kelas 1 Tema 3 Subtema 2 - Website Edukasi Teknik dasar sepak bola dan penjelasannya lengkap dengan gambar - Pak Mono Jendela Informasi : Permainan Sepak Bola Untitled Teknik Sepak Bola - Teknikkami Pemain sepakbola Menggambar Futsal, Pemain Sepak Bola Menendang Bola, olahraga, Peralatan Olahraga png | PNGEgg 9 Teknik Dasar Permainan Sepak Bola + Gambar & Penjelasannya 10 Teknik Dasar Sepak Bola dan Penjelasannya - Tokopedia Blog 6 Teknik Dasar Sepak Bola untuk Latih Kelincahan Sebuah bola sepak menggelinding ke arah barat dengan kecepatan 2 m/s, kemudian - Mas Dayat

anda boleh meng copy semua artikel pada web ini, mau diapain juga boleh kok terserah anda saja, yang penting ada tanggung jawab dengan apa yang ada lakukan. jangan sampai anda merugikan semua orang. kamu juga boleh mendownload men share ke keluarga, sahabat, teman lama, gebetan dan yg lainnya. jika dalam artikel ini ada gambar yang bersumber dari luar web itu merupakan diluar tanggung jawab kami.

Gambar Anak Laki Dan Perempuan

Gambar Anak Berkebutuhan Khusus